专利加持!迪克曼黄金神经酰胺EOP已获得化合物专利!为行业创新发展赋能!
作者: 小编 时间 :2026-04-21 浏览量 :
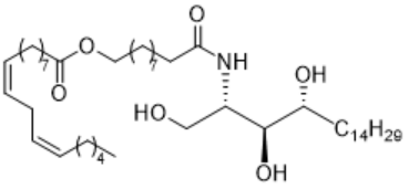
近日,迪克曼化妆品研发团队再创佳绩,黄金神经酰胺EOP(CAS 号:2922747-35-9)化合物专利获国家知识产权局授权!专利名称:《一种神经酰胺及其制备方法和应用》,专利号: ZL 2022 1 1238109.X 。原料是产品的“核心”,迪克曼始终坚持以创新驱动发展,在神经酰胺领域不断筑牢科技壁垒,为化妆品原料发展注入更多生命力,以创新赋能行业打造爆品。



什么是化合物专利?真正的原创始于一个不可替代的化学式,化合物专利是一种针对具有特定化学结构的化合物的专利保护形式。它是“硬科技”的实力标志,具有技术含量高、保护范围宽、排他性最强等特点,可打造“绝对壁垒”,专利持有者将对该化合物享有长达20年的独占权。化合物专利的保护对于推动行业创新和健康发展至关重要。 市场已发现侵权行为:在技术创新的道路上,我们始终欢迎良性竞争。然而近期我们关注到市场中出现了一些“模仿者”。
①部分明目张胆地使用我们的创新结构;
②部分使用变通的化合物结构打掩护;
③部分使用别的CAS号替代;
④部分宣称开发了“新型结构”,却只是掩耳盗铃,而其核心成分与我们的专利化合物结构完全一致。
创新需要勇气,更需要尊重。我们始终相信,唯有敬畏知识产权、守护原创力量,才能推动行业走得更远。在此,我们诚邀同行伙伴:以技术突破为荣,以用户价值为本,共同为化妆品行业注入真正的“科学力”。
尊重知识产权,合法使用专利,避免侵权风险!
info@dkmbio.com
座机:0755-89668048 
返回列表
